1. Predicting exam score : regression

위와 같은 시간에 따른 점수에 따른 데이터를 갖고 학습시킨다. 이런 regression 모델이 데이터를 갖고 학습하면 어떠한 모델이 만들어진다.
2. Regression

3. (Linear) Hypothesis

세상에는 Linear로 모델을 가설을 세울 수 있는 것이 많다. 따라서 위 중에 어떤 선이 해당 데이터에 맞을까 찾는 것이 모델을 만드는 것이다.
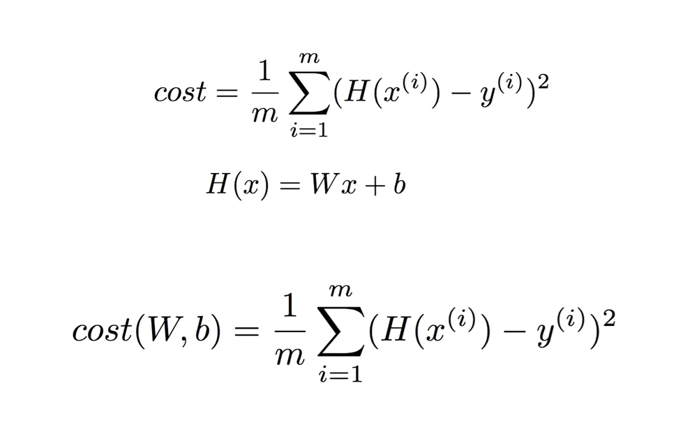
4. Cost Function


설정한 선형 함수와 실제 값의 차이를 제곱하면 항상 양수가 되며, 이 값은 예측과 실제 값의 차이가 클수록 더 커지므로, 오차가 큰 경우에 더 큰 가중치를 부여할 수 있다.
m을 학습한 데이터라고 하면 예측한 값 H(x)와 실제 값인 y의 차이를 제곱한다.

H(x) = Wx+b를 cost function에 대입하면, const는 W, b의 함수가 된다. 따라서 이 차이를 줄이려면 W, b가 작아야 하므로

cost를 가장 작게 만드는 W,b를 구하는 것이 최종 목표이다.
'Python > ML' 카테고리의 다른 글
| [ML] 2025/07/22, Linear Regression의 cost 최소화의 TensorFlow 구현 (0) | 2025.07.22 |
|---|---|
| [ML] 2025/07/22, Linear Regression의 cost 최소화 알고리즘의 원리 설명 (0) | 2025.07.22 |
| [ML] 2025/07/21, TensorFlow로 간단한 linear regression을 구현 (0) | 2025.07.21 |
| [ML] 2025/07/21, TensorFlow의 설치및 기본적인 operations (0) | 2025.07.21 |
| [ML] 2025/07/20, 모두를 위한 딥러닝 강좌 시즌 1 (0) | 2025.07.21 |