1. Recap

2. multi-variable

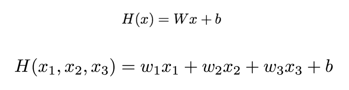
변수가 1개가 아니라 3개일 경우는 기존의 방법을 사용할 수 없다.
3. Hypothesis

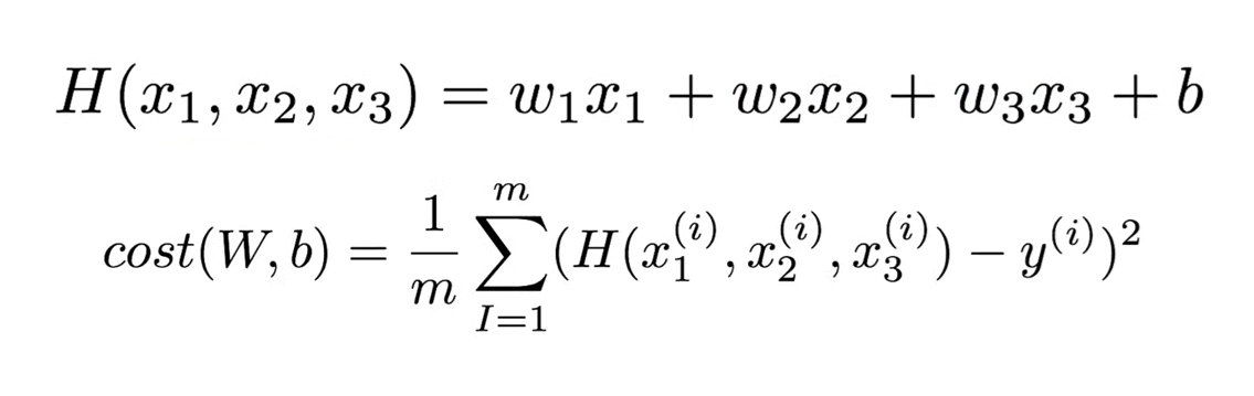
4. cost function

cost function의 핵심은 예측한 값 H(x1, x2, x3)를 실제값과의 차이의 최소값을 구하는 것이다.
5. Matrix multiplication

matrix 곱을 통해서 값을 구할 수 있고, 이를 사용할 것이다.

위와 같이 표현할 수 있다. (x1 x2 x3)가 X, (w1 w2 w3)는 W가 된다.



matrix 연산을 할 때 [x, y] x [y, z]에서 y의 값이 같아야 하고, 결과는 [x, z]가 나온다.

1. X는 주어진다 [5, 3]에서 5는 주어지는 데이터 수인 instance라 하고 3은 variable의 개수이다.
2. 출력인 H(X)도 주어진다. [5, 1]에서 5는 주어지는 데이터 수이고, 1은 Y 값이다.

실제 데이터는 가변하는 데이터 이므로 n으로 표현하고 tensorflow에서는 None으로 표현하다. None는 없는게 아니라 여러개라는 뜻이다.
6. Hypothesis using matrix (n output)

?는 [3, 2]가 된다.

이론에서는 Wx + b꼴로 Weight가 앞에 오는데 matrix 연산을 할 때는 X가 앞에 온다.
'Python > ML' 카테고리의 다른 글
| [ML] 2025/07/24, Logistic Classification의 가설 함수 정의 (0) | 2025.07.24 |
|---|---|
| [ML] 2025/07/22, multi-variable linear regression을 TensorFlow에서 구현하기 (0) | 2025.07.22 |
| [ML] 2025/07/22, Linear Regression의 cost 최소화의 TensorFlow 구현 (0) | 2025.07.22 |
| [ML] 2025/07/22, Linear Regression의 cost 최소화 알고리즘의 원리 설명 (0) | 2025.07.22 |
| [ML] 2025/07/21, TensorFlow로 간단한 linear regression을 구현 (0) | 2025.07.21 |